Liquefied Petroleum Gas (LPG) merupakan komoditas energi yang vital, mulai dari kebutuhan rumah tangga hingga sektor industri. Mengingat perannya yang luas, pemerintah berupaya memberikan kepastian hukum serta kemudahan dalam pengenaan Pajak Pertambahan Nilai (PPN) atas penyerahan LPG.
Aturan ini dituangkan dalam Peraturan Menteri Keuangan Nomor 62/PMK.03/2022 sebagaimana telah diubah dengan Peraturan Menteri Keuangan Nomor 11 Tahun 2025 (PMK 11/2025). Regulasi tersebut mengatur penggunaan nilai lain dan besaran tertentu sebagai dasar pengenaan PPN atas penyerahan LPG tertentu.
Definisi LPG dan LPG Tertentu
Menurut Pasal 1 angka 5 PMK 62/2022, LPG adalah gas hidrokarbon yang dicairkan dengan tekanan agar lebih mudah disimpan, diangkut, dan digunakan. LPG pada umumnya terdiri atas propana, butana, atau campuran keduanya.
Sementara itu, LPG tertentu adalah LPG yang mendapat perlakuan khusus karena kondisi tertentu, misalnya pengguna atau penggunaannya, kemasan, volume, atau harga yang masih disubsidi sesuai ketentuan di bidang energi dan sumber daya mineral.
Perlakuan PPN atas LPG Tertentu
Pasal 2 PMK 62/2022 menyebutkan bahwa penyerahan Barang Kena Pajak (BKP) berupa LPG tertentu oleh Pengusaha Kena Pajak (PKP) dikenakan PPN. Mekanismenya terbagi menjadi dua:
- LPG tertentu dengan harga yang disubsidi pemerintah
- Penyerahan terjadi dari badan usaha ke pemerintah.
- Atas penyerahan ini, PPN dibayar oleh pemerintah.
- LPG tertentu dengan harga yang tidak disubsidi
- Jika penyerahan berada pada titik serah badan usaha, PPN dihitung dengan mengalikan tarif PPN dengan nilai lain sebagai dasar pengenaan pajak.
- Jika penyerahan berada pada titik serah agen atau pangkalan, PPN dipungut dan disetor menggunakan besaran tertentu.
- Dalam hal ini, PPN dibayarkan oleh pembeli.
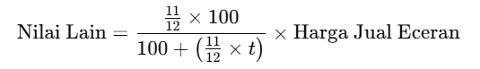
DPP Nilai Lain dan Besaran Tertentu
Berdasarkan Pasal 8 PMK 11/2025, dasar pengenaan pajak (DPP) untuk LPG tertentu ditetapkan menggunakan nilai lain, dengan formula:

dengan t adalah tarif PPN yang berlaku, yaitu 12%.
Setelah dihitung dan dibulatkan, nilai lain tersebut ditetapkan sebesar 0,825 × Harga Jual Eceran.
Sementara itu, Pasal 14 PMK 11/2025 mengatur besaran tertentu PPN yang terutang atas penyerahan LPG tertentu, yaitu:
- Pada titik serah agen sebesar 1,1/101,1 dari selisih lebih antara harga jual agen dan harga jual eceran.
- Pada titik serah pangkalan sebesar 1,1/101,1 dari selisih lebih antara harga jual pangkalan dan harga jual agen.
Pembuatan Faktur Pajak
Atas penyerahan LPG tertentu, PKP wajib membuat faktur pajak. Faktur diterbitkan pada saat:
- Badan usaha mengajukan permintaan pembayaran subsidi kepada pemerintah, atau
- Badan usaha, agen, atau pangkalan melakukan penyerahan LPG tertentu, atau saat pembayaran dilakukan sebelum penyerahan.
Untuk transaksi PPN dengan besaran tertentu, digunakan kode transaksi 05 pada faktur pajak.
Contoh Perhitungan
PT PQR sebagai agen LPG tertentu menyerahkan 5.000 tabung LPG kepada CV STU (pangkalan) pada 20 Februari 2025. Harga jual agen Rp14.000 per tabung, sedangkan harga jual eceran Rp12.750 per tabung.
Perhitungannya sebagai berikut:
Total harga jual eceran: Rp63.750.000 (5.000 × Rp12.750)
Total harga jual agen: Rp70.000.000 (5.000 × Rp14.000)
DPP: Rp6.250.000 (Rp70.000.000 – Rp63.750.000)
PPN terutang: Rp68.002 (1,1/101,1 × Rp6.250.000)
PPN sebesar Rp68.002 ini sudah termasuk dalam selisih harga jual antara agen dan eceran.
Dengan adanya ketentuan yang diatur dalam PMK 62/PMK.03/2022 sebagaimana telah diubah dengan PMK 11/PMK.03/2025, pengenaan PPN atas LPG menjadi lebih jelas dan sederhana. Mekanisme nilai lain dan besaran tertentu membantu menciptakan kepastian hukum sekaligus mengoptimalkan penerimaan negara tanpa mengabaikan aspek subsidi bagi masyarakat.
Penulis : Amrina Yulfajar & Icha Audy
Editor : Agnes Ade Arsya
Image Source: Pinterest
